Funktionen Verstehen Rechnen Und Zeichnen Studyhelp
Skizzieren Des Schaubilds Der Ableitungsfunktion
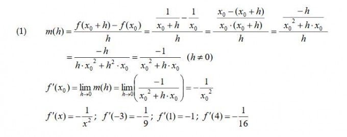
H Methode Um Ableitungsfunktion Von F X 1 X Zu Bestimmen Schritte 1 Bis 4 Mathelounge
Differenzieren 1 Mathematische Hintergrunde
Gerade Ungerade Funktion
Extremstelle Berechnen
Ableitungen Ableitung Ableiten Ableitungsregeln Mathe Seite De
Funktionsgraphen Verschiedene Funktion X 3 X 4 Grafisch Dargestellt Schule Studium De Erklart Ausfuhrlich
Anschauliche Bedeutung Funktionsanalyse Integral Ableitung F X Mathe Seite De
Gegeben Ist Die Funktion F X 1 3x 3 X 2 Nullstellen Mathelounge
Funktionen In Der Mathematik Mathe Brinkmann
Ableitung E Funktion
Wie Zeichne Ich Den Graph Zu Der Funktion F X 1 X Also 1 Durch X Mathematik
Einfuhrung In Die Kurvendiskussion Mit Beispielen Mathe Brinkmann
Allgemeines Warum Heissen Funktionen F X Sos Mathe Youtube
Eigenschaften Von Funktionen Grundwissen Mathematik
Momentane Lokale Anderungsrate Level 1 Grundlagen Blatt 1
1 3 1 Eigenschaften Und Rechenregeln Mathe Abi Mathematik 4 Tagliches Mathematik